Les équations : exercices de maths en 3ème corrigés en PDF.
Mis à jour le 31 décembre 2025
Des exercices de maths en 3ème portant sur les équations et inéquations afin de réviser en ligne et de développer ses compétences.
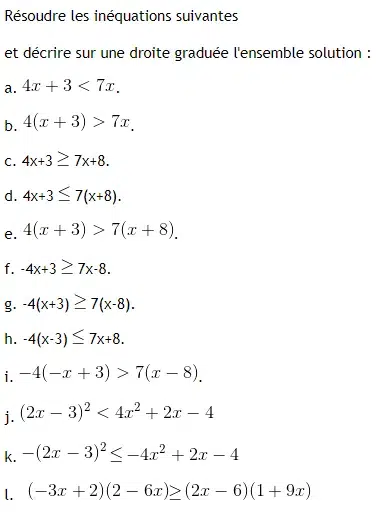
Exercice 1 – les inéquations..
Exercice 2 – résolution d’équations.
Exercice 3 – equations et calcul littéral.
Exercice 4 – problème et résolution d’équations..
Exercice 5 – développement,factorisation et équation de produit nul..
Exercice 6 – factorisation et equations.
Exercice 7 – equations produits à résoudre..
Exercice 8 – pièces en euros et équations..
Exercice 9 – résoudre ces équations..
Exercice 10 – carré et équations.
Exercice 11 – club et équations.
Exercice 12 – equations et théorème de Thalès..
Exercice 13 – thalès et résolution d’équations..
Exercice 14 – trouver trois nombres consécutifs.
Exercice 15 – résoudre des équations du premier degré.
Télécharger puis imprimer cette fiche en PDF.
Télécharger ou imprimer cette fiche «les équations : exercices de maths en 3ème corrigés en PDF.» au format PDF afin de pouvoir travailler en totale autonomie.
Cours de 3ème
Nos applications
Téléchargez la dernière version gratuite de nos applications.




